Vistas:1 Autor:Editor del sitio Hora de publicación: 2020-05-18 Origen:Sitio
Después de que la chapa se seque porchapasecadora, la chapa se evalúa en términos de contracción, deformación, contenido de humedad y su distribución.
Primero hable sobre la contracción y deformación de la chapa. La madera puede absorber una cierta cantidad de agua, y el tamaño de la madera cambiará debido al contenido de humedad. Cuando se reduce el contenido de humedad, el tamaño de la madera se reducirá, lo que también se llama contracción. Por el contrario, si el contenido de humedad de la madera aumenta, el tamaño de la madera aumentará, lo que también llamamos hinchazón.
Después de que la chapa se seque con el secador de chapa, la forma de la chapa cambiará, principalmente se manifiesta en la contracción, deformación, grietas de la chapa en todas las direcciones y la onda al final de la chapa.
Cuando la chapa se corta por elpeladora de chapas (cortadora rotativa), se lleva a cabo siguiendo la dirección del anillo anual de madera. Por lo tanto, la contracción en el ancho de la chapa es equivalente a la contracción acorde de la madera, y la contracción en el grosor es equivalente a la contracción radial de la madera. La dirección longitudinal es longitudinal.
El estado del contenido de humedad y el grosor es diferente, y el estado del secado de la chapa también es diferente. Cuando aumenta el grosor de la chapa, la tasa de impuestos aumentará con el secado. Por lo tanto, la capa húmeda interna dificultará la contracción de la capa superficial, y la contracción de la capa superficial es limitada. pequeña. En la dirección, la contracción de la chapa gruesa es mayor que la de la chapa delgada. En pocas palabras, las carillas gruesas tienen una tasa de contracción menor en la dirección del ancho que las carillas delgadas, y las carillas gruesas tienen una tasa de contracción mayor en la dirección del espesor.
Cuando se seca rápidamente, cuanto mayor es la temperatura, menor es la tasa de contracción.
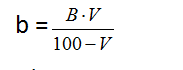
Si la chapa se corta primero y luego se seca, al cortar la chapa húmeda, es necesario dejar suficiente ancho para reducir el margen. Margen de contracción seca considerado por el ancho del tablero b:
B = ancho de chapa seca (mm)
V = tasa de contracción en la dirección del ancho (%).
Si primero se seca y luego se corta, no hay necesidad de considerar dejar una contracción por secado. En el secado continuo, la dirección de avance de la chapa es perpendicular a la dirección horizontal del grano de la chapa, por lo que la resistencia a la tracción del grano horizontal de la madera será relativamente baja. Después de que el contenido de humedad de la chapa alcanza el punto de saturación de la fibra después del secado, la velocidad de transporte de la chapa es menor.
El margen de grosor d en el grosor de la chapa también debe tenerse en cuenta al cortar por rotación:
D = espesor del tablero seco (mm)
Vh = contracción en seco en la dirección del espesor (%)
En cuanto a la reducción del control de calidad de secado de chapas, espero que les ayude.
